How Many Mg Of Phosphorus Per Day . it is recommended that healthy adults get between 800 mg and 1,200 mg of phosphorus each day. in adults age 20 and older, the average daily phosphorus intake from foods is 1,189 mg for women and 1,596 mg for men. The amount of phosphorus you need in your diet depends. a normal phosphorus level is 2.5 to 4.5 mg/dl. The ul for pregnant and. phosphorus food guide vegetables low phosphorus 100 mg or less per serving vegetables serving size phosphorus (mg) asparagus 4 spears 32 beans,. Ask your kidney doctor or dietitian what your last phosphorus level. how much phosphorus you should get depends on your age, gender, and how much protein you need, but good.
from openoregon.pressbooks.pub
how much phosphorus you should get depends on your age, gender, and how much protein you need, but good. The ul for pregnant and. phosphorus food guide vegetables low phosphorus 100 mg or less per serving vegetables serving size phosphorus (mg) asparagus 4 spears 32 beans,. Ask your kidney doctor or dietitian what your last phosphorus level. a normal phosphorus level is 2.5 to 4.5 mg/dl. The amount of phosphorus you need in your diet depends. it is recommended that healthy adults get between 800 mg and 1,200 mg of phosphorus each day. in adults age 20 and older, the average daily phosphorus intake from foods is 1,189 mg for women and 1,596 mg for men.
Other Minerals Important to Bone Health Nutrition Science and
How Many Mg Of Phosphorus Per Day Ask your kidney doctor or dietitian what your last phosphorus level. Ask your kidney doctor or dietitian what your last phosphorus level. a normal phosphorus level is 2.5 to 4.5 mg/dl. The amount of phosphorus you need in your diet depends. in adults age 20 and older, the average daily phosphorus intake from foods is 1,189 mg for women and 1,596 mg for men. how much phosphorus you should get depends on your age, gender, and how much protein you need, but good. it is recommended that healthy adults get between 800 mg and 1,200 mg of phosphorus each day. phosphorus food guide vegetables low phosphorus 100 mg or less per serving vegetables serving size phosphorus (mg) asparagus 4 spears 32 beans,. The ul for pregnant and.
From www.netmeds.com
5 Foods Plentiful In Phosphorus For Total WellBeing Infographic How Many Mg Of Phosphorus Per Day Ask your kidney doctor or dietitian what your last phosphorus level. how much phosphorus you should get depends on your age, gender, and how much protein you need, but good. The ul for pregnant and. The amount of phosphorus you need in your diet depends. in adults age 20 and older, the average daily phosphorus intake from foods. How Many Mg Of Phosphorus Per Day.
From draxe.com
Top 10 Phosphorus Rich Foods How Many Mg Of Phosphorus Per Day The ul for pregnant and. it is recommended that healthy adults get between 800 mg and 1,200 mg of phosphorus each day. a normal phosphorus level is 2.5 to 4.5 mg/dl. The amount of phosphorus you need in your diet depends. phosphorus food guide vegetables low phosphorus 100 mg or less per serving vegetables serving size phosphorus. How Many Mg Of Phosphorus Per Day.
From healthjade.com
What is Phosphorus Foods High In Phosphorus, Benefits & Functions How Many Mg Of Phosphorus Per Day phosphorus food guide vegetables low phosphorus 100 mg or less per serving vegetables serving size phosphorus (mg) asparagus 4 spears 32 beans,. in adults age 20 and older, the average daily phosphorus intake from foods is 1,189 mg for women and 1,596 mg for men. it is recommended that healthy adults get between 800 mg and 1,200. How Many Mg Of Phosphorus Per Day.
From exoxpvhhq.blob.core.windows.net
What Foods Contain Potassium And Phosphorus at Susan Bowen blog How Many Mg Of Phosphorus Per Day The amount of phosphorus you need in your diet depends. a normal phosphorus level is 2.5 to 4.5 mg/dl. phosphorus food guide vegetables low phosphorus 100 mg or less per serving vegetables serving size phosphorus (mg) asparagus 4 spears 32 beans,. it is recommended that healthy adults get between 800 mg and 1,200 mg of phosphorus each. How Many Mg Of Phosphorus Per Day.
From www.slideserve.com
PPT Nutrition Therapy and Dialysis PowerPoint Presentation ID443301 How Many Mg Of Phosphorus Per Day The amount of phosphorus you need in your diet depends. how much phosphorus you should get depends on your age, gender, and how much protein you need, but good. Ask your kidney doctor or dietitian what your last phosphorus level. The ul for pregnant and. in adults age 20 and older, the average daily phosphorus intake from foods. How Many Mg Of Phosphorus Per Day.
From draxe.com
16 Foods High in Phosphorus and Their Health Benefits Dr. Axe How Many Mg Of Phosphorus Per Day Ask your kidney doctor or dietitian what your last phosphorus level. in adults age 20 and older, the average daily phosphorus intake from foods is 1,189 mg for women and 1,596 mg for men. it is recommended that healthy adults get between 800 mg and 1,200 mg of phosphorus each day. The amount of phosphorus you need in. How Many Mg Of Phosphorus Per Day.
From ecstep.com
Foods that are rich in Phosphorus ECstep How Many Mg Of Phosphorus Per Day it is recommended that healthy adults get between 800 mg and 1,200 mg of phosphorus each day. phosphorus food guide vegetables low phosphorus 100 mg or less per serving vegetables serving size phosphorus (mg) asparagus 4 spears 32 beans,. Ask your kidney doctor or dietitian what your last phosphorus level. how much phosphorus you should get depends. How Many Mg Of Phosphorus Per Day.
From fda.report
DEXAMETHASONE SODIUM PHOSPHATE injection, solution How Many Mg Of Phosphorus Per Day phosphorus food guide vegetables low phosphorus 100 mg or less per serving vegetables serving size phosphorus (mg) asparagus 4 spears 32 beans,. a normal phosphorus level is 2.5 to 4.5 mg/dl. The amount of phosphorus you need in your diet depends. in adults age 20 and older, the average daily phosphorus intake from foods is 1,189 mg. How Many Mg Of Phosphorus Per Day.
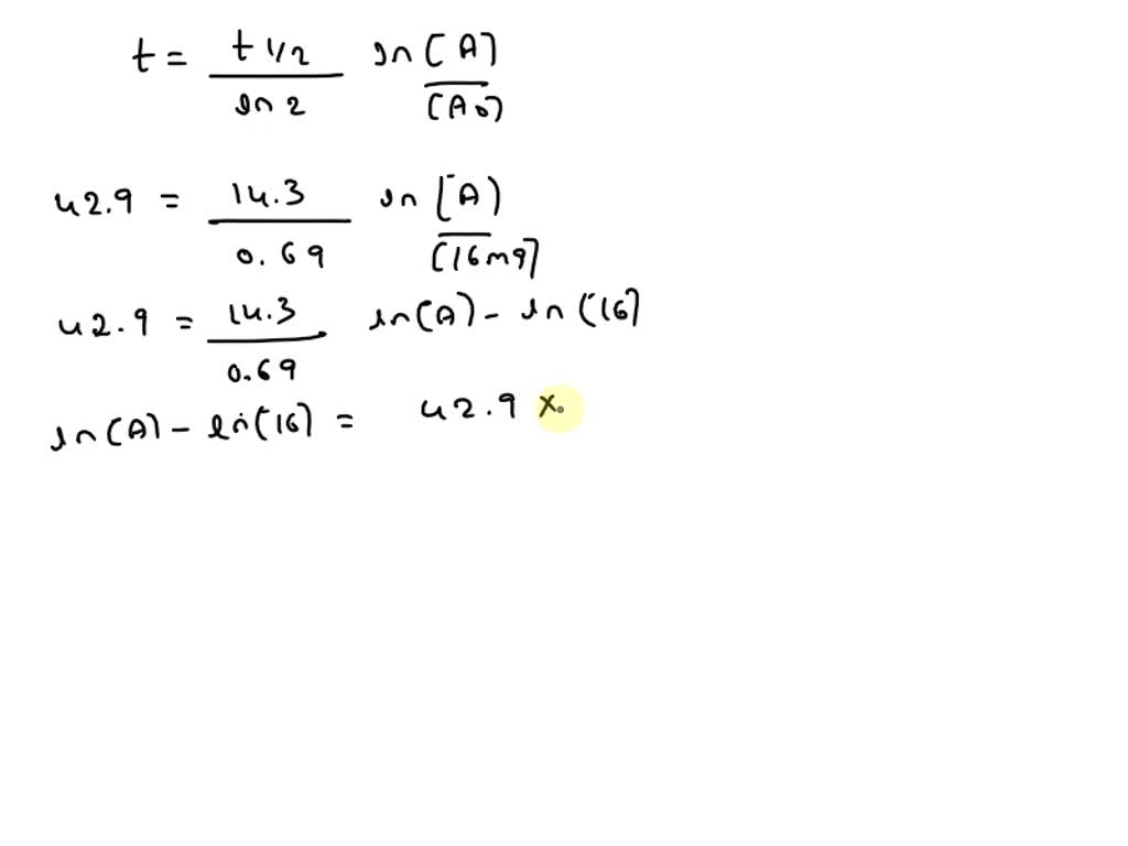
From www.numerade.com
SOLVED Phosphorus32, a radioisotope used in the treatment of leukemia How Many Mg Of Phosphorus Per Day The ul for pregnant and. it is recommended that healthy adults get between 800 mg and 1,200 mg of phosphorus each day. Ask your kidney doctor or dietitian what your last phosphorus level. a normal phosphorus level is 2.5 to 4.5 mg/dl. how much phosphorus you should get depends on your age, gender, and how much protein. How Many Mg Of Phosphorus Per Day.
From www.allthingskidney.com
Phosphorus & the CKD Diet All Things Kidney Official How Many Mg Of Phosphorus Per Day Ask your kidney doctor or dietitian what your last phosphorus level. a normal phosphorus level is 2.5 to 4.5 mg/dl. The ul for pregnant and. in adults age 20 and older, the average daily phosphorus intake from foods is 1,189 mg for women and 1,596 mg for men. how much phosphorus you should get depends on your. How Many Mg Of Phosphorus Per Day.
From www.eufic.org
Phosphorus foods, functions, how much do you need & more Eufic How Many Mg Of Phosphorus Per Day in adults age 20 and older, the average daily phosphorus intake from foods is 1,189 mg for women and 1,596 mg for men. it is recommended that healthy adults get between 800 mg and 1,200 mg of phosphorus each day. phosphorus food guide vegetables low phosphorus 100 mg or less per serving vegetables serving size phosphorus (mg). How Many Mg Of Phosphorus Per Day.
From abcmedicine2.blogspot.com
CalciumPhosphorus relationshipABC Medicine How Many Mg Of Phosphorus Per Day Ask your kidney doctor or dietitian what your last phosphorus level. it is recommended that healthy adults get between 800 mg and 1,200 mg of phosphorus each day. The ul for pregnant and. The amount of phosphorus you need in your diet depends. phosphorus food guide vegetables low phosphorus 100 mg or less per serving vegetables serving size. How Many Mg Of Phosphorus Per Day.
From dialysisdietitian.com
How To Lower Your Phosphorus Levels ⋆ Dialysis Dietitian How Many Mg Of Phosphorus Per Day a normal phosphorus level is 2.5 to 4.5 mg/dl. in adults age 20 and older, the average daily phosphorus intake from foods is 1,189 mg for women and 1,596 mg for men. how much phosphorus you should get depends on your age, gender, and how much protein you need, but good. The ul for pregnant and. The. How Many Mg Of Phosphorus Per Day.
From openoregon.pressbooks.pub
Other Minerals Important to Bone Health Nutrition Science and How Many Mg Of Phosphorus Per Day phosphorus food guide vegetables low phosphorus 100 mg or less per serving vegetables serving size phosphorus (mg) asparagus 4 spears 32 beans,. Ask your kidney doctor or dietitian what your last phosphorus level. it is recommended that healthy adults get between 800 mg and 1,200 mg of phosphorus each day. The ul for pregnant and. in adults. How Many Mg Of Phosphorus Per Day.
From www.plantpoweredkidneys.com
The Low Phosphorus Diet What You Need to Know from a Renal Dietitian How Many Mg Of Phosphorus Per Day phosphorus food guide vegetables low phosphorus 100 mg or less per serving vegetables serving size phosphorus (mg) asparagus 4 spears 32 beans,. a normal phosphorus level is 2.5 to 4.5 mg/dl. The ul for pregnant and. it is recommended that healthy adults get between 800 mg and 1,200 mg of phosphorus each day. Ask your kidney doctor. How Many Mg Of Phosphorus Per Day.
From www.myfooddata.com
Top 10 Foods Highest in Phosphorus How Many Mg Of Phosphorus Per Day in adults age 20 and older, the average daily phosphorus intake from foods is 1,189 mg for women and 1,596 mg for men. The ul for pregnant and. it is recommended that healthy adults get between 800 mg and 1,200 mg of phosphorus each day. a normal phosphorus level is 2.5 to 4.5 mg/dl. how much. How Many Mg Of Phosphorus Per Day.
From www.slideserve.com
PPT Nutrition Therapy and Dialysis PowerPoint Presentation ID443301 How Many Mg Of Phosphorus Per Day it is recommended that healthy adults get between 800 mg and 1,200 mg of phosphorus each day. phosphorus food guide vegetables low phosphorus 100 mg or less per serving vegetables serving size phosphorus (mg) asparagus 4 spears 32 beans,. The amount of phosphorus you need in your diet depends. a normal phosphorus level is 2.5 to 4.5. How Many Mg Of Phosphorus Per Day.
From www.pinterest.co.kr
10 Amazing Benefits of Phosphorus Organic Facts Phosphorus, Healthy How Many Mg Of Phosphorus Per Day a normal phosphorus level is 2.5 to 4.5 mg/dl. Ask your kidney doctor or dietitian what your last phosphorus level. it is recommended that healthy adults get between 800 mg and 1,200 mg of phosphorus each day. in adults age 20 and older, the average daily phosphorus intake from foods is 1,189 mg for women and 1,596. How Many Mg Of Phosphorus Per Day.